Nůž pto trapézový závit
Mas ho v sesitu matematiky pro 7 rocnik 
"do řiti se řítíme, ani o tom nevíme.."
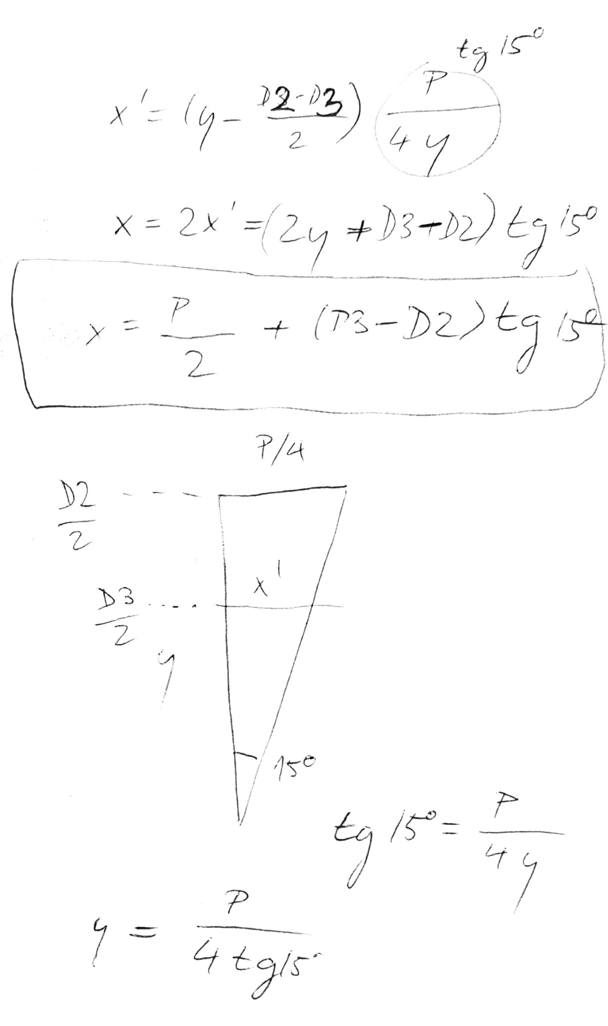
pro průměry označené dle obrázku a s=stoupání platí
x=s/2-(d2-d3)*tg15°
x=s/2-(d2-d3)*tg15°
Obvykle se dějí věci obvyklé. Méně často se dějí věci neobvyklé a zcela vyjímečně se dějí věci vyjímečné...
Masturn 40 CNC, Hermle UWF1200H CNC a pár klasik
http://www.radialengine.cz" onclick="window.open(this.href);return false;
http://www.autopejsek.cz" onclick="window.open(this.href);return false;
Masturn 40 CNC, Hermle UWF1200H CNC a pár klasik
http://www.radialengine.cz" onclick="window.open(this.href);return false;
http://www.autopejsek.cz" onclick="window.open(this.href);return false;
Ahoj,
ja mám odloženú túto tabuľku.
skús to skontrolovať či to sedí s tým vzorcom
s pozdravom
ja mám odloženú túto tabuľku.
skús to skontrolovať či to sedí s tým vzorcom
s pozdravom
- Přílohy
-
- TR noz rozmer spicky.pdf
- (419.37 KiB) Staženo 1105 x
Ahoj,
díky všem za rady,
něž tu, ale byla nějaká odpověď sem si to našel v chytré knížce a vypočítal úplně stejně jako
uvedl testone "
pro průměry označené dle obrázku a s=stoupání platí
x=s/2-(d2-d3)*tg15°"
jinak jednalo se o závit Tr 22x6/4 (stoupání 6mm a čtyřchodý)
Profil nože sem měl vybroušený napřesno, nůž byl vyosený cca 15° z vodorovné roviny z důvodu velkého stoupání jinak by neřezal, závit sem nerozjížděl (u takového malého to není potřeba pokud profil pasuje a taky čtyřchodí rozjíždět ztoho by mě jeblo), vícechodý závit sem dělal pomocí posunutí nožových saní.
dokonce sem ho udělal napoprvé bez žádné korekce a hned pasoval holt když je dostupný originám + matka a přesně se to proměří
díky všem za rady,
něž tu, ale byla nějaká odpověď sem si to našel v chytré knížce a vypočítal úplně stejně jako
uvedl testone "
pro průměry označené dle obrázku a s=stoupání platí
x=s/2-(d2-d3)*tg15°"
jinak jednalo se o závit Tr 22x6/4 (stoupání 6mm a čtyřchodý)
Profil nože sem měl vybroušený napřesno, nůž byl vyosený cca 15° z vodorovné roviny z důvodu velkého stoupání jinak by neřezal, závit sem nerozjížděl (u takového malého to není potřeba pokud profil pasuje a taky čtyřchodí rozjíždět ztoho by mě jeblo), vícechodý závit sem dělal pomocí posunutí nožových saní.
dokonce sem ho udělal napoprvé bez žádné korekce a hned pasoval holt když je dostupný originám + matka a přesně se to proměří
Zdar chlapi.
Není v tom vzorci chyba?
Matika není moje hobby, ale když rovnoramenný lichoběžník počítám přes sinus, tak mě vychází X=0,6mm.
Nemá v tom vorci být S/2-(D4-D2)tang15° ?
Potřebuji si vybrousit nožík na tr 10x2 a už hodinu počítám díky těmto příspěvku hodnotu X
Opavte mě prosím když tak někdo -dík
Není v tom vzorci chyba?
Matika není moje hobby, ale když rovnoramenný lichoběžník počítám přes sinus, tak mě vychází X=0,6mm.
Nemá v tom vorci být S/2-(D4-D2)tang15° ?
Potřebuji si vybrousit nožík na tr 10x2 a už hodinu počítám díky těmto příspěvku hodnotu X
Opavte mě prosím když tak někdo -dík
Není D2 - D3 = D4 - D2? Vypadá to celkem symetricky. Hledal jsi X pro šroub jako v původním dotazu nebo pro matku (přemýšlím, jak se ti tam to D4 vůbec dostalo
)?
Btw. vyšlo mi to stejně
Btw. vyšlo mi to stejně
mimooborová naplavenina • kolowratský zázrak™ • NPS • GCU • HirthCalc • ncDP.ino
No pro tebe a jinné
kompletní problematika:
1. Nedávej děckám vědeckou kalkulačku jako hračku - dycky ti ju natuty přepnou do radiánů nebo gradů
2.stáhnutý vědecký kalkulačky do telefonu jsou většinou zaplý v radiánech a je nutno přepnout na klasický úhel označení "deg" v některých to ani nejde přepnout!
takže sesumírujem si to:
Přepni si na kalkulačce na systém zadávání úhlu- vetšinou značeno "deg" a bude ti všechno vycházet
Pokud nejsi přítel s kalkulačků tak si sežeň starý dobrý tabulky a máš jistotu "že to máš dobře nastavený"
Jinak posílám rozepsaný výpočet na tr10x2 a ušetřím tebe a jiné probděných nocí a vykřikování čísel ze snů.
Pokud tomu ještě nevěříš a chceš si to nejak ověřit vypočítej si nějaký trapéz se stoupáním co jsou uvedený v tabujce v příspěku od "shower" a zrovna ti říkám, že to pasuje
Hodnoty d3, d2, D4, D2 jsou vyhledány ze strojnických tabulek pro jmenovitý průměr lichoběžníkového(trapézového) závitu a dané stroupání.
kompletní problematika:
1. Nedávej děckám vědeckou kalkulačku jako hračku - dycky ti ju natuty přepnou do radiánů nebo gradů
2.stáhnutý vědecký kalkulačky do telefonu jsou většinou zaplý v radiánech a je nutno přepnout na klasický úhel označení "deg" v některých to ani nejde přepnout!
takže sesumírujem si to:
Přepni si na kalkulačce na systém zadávání úhlu- vetšinou značeno "deg" a bude ti všechno vycházet
Pokud nejsi přítel s kalkulačků tak si sežeň starý dobrý tabulky a máš jistotu "že to máš dobře nastavený"
Jinak posílám rozepsaný výpočet na tr10x2 a ušetřím tebe a jiné probděných nocí a vykřikování čísel ze snů.
Pokud tomu ještě nevěříš a chceš si to nejak ověřit vypočítej si nějaký trapéz se stoupáním co jsou uvedený v tabujce v příspěku od "shower" a zrovna ti říkám, že to pasuje
Hodnoty d3, d2, D4, D2 jsou vyhledány ze strojnických tabulek pro jmenovitý průměr lichoběžníkového(trapézového) závitu a dané stroupání.
markus píše: ↑10. 6. 2020, 10:26 Zdar chlapi.
Není v tom vzorci chyba?
Matika není moje hobby, ale když rovnoramenný lichoběžník počítám přes sinus, tak mě vychází X=0,6mm.
Nemá v tom vorci být S/2-(D4-D2)tang15° ?
Potřebuji si vybrousit nožík na tr 10x2 a už hodinu počítám díky těmto příspěvku hodnotu X![]()
Opavte mě prosím když tak někdo -dík
Pozor na ty hodnoty d2min není d2 a d3min není d3
výsledek je pak o nějakou tu setinku zavádějící (pro broušení nože v ruce prakticky žádný rozdíl)
stejně bys to měl dopasovat při výrobě závitu podle matky nebo šroubu - podle toho co vyrábíš.
výsledek je pak o nějakou tu setinku zavádějící (pro broušení nože v ruce prakticky žádný rozdíl)
stejně bys to měl dopasovat při výrobě závitu podle matky nebo šroubu - podle toho co vyrábíš.
Naposledy upravil(a) ovi-ivo dne 11. 6. 2020, 9:52, celkem upraveno 1 x.
Jasné, já měl jen problém najít tabulku, kde by byla všechna D jako na obrázku nahoře (d3 často chyběl, asi proto, že je to symetrické nebo nevim).
mimooborová naplavenina • kolowratský zázrak™ • NPS • GCU • HirthCalc • ncDP.ino
Chlapi, díky všem , kteří jste si dali tu práci, aby jsme zjistili, že jsem lama a neumím používat kalkulátor na pc. Opravdu jsem měl kalkulátor nastaven správně, akorát , když jsem do něj, při zapisování hodnot do vzorce zadal tang15 a odklikl entrem, tak jsem si neuvědomil, že to přepočítalo pouze ten tang15 a až po druhým kliknutí na entr to dopočítalo zbytek, s výsledkem takovým, jak jsem to já počítal na papíře přes ten sinus. Jdu na hodinu do kouta se hambit.
Ještě jednou díky za trpělivost a půjdu si vytočit první svůj TR závit na šroubu a matici.
Jsem zvědav jak se to na šroubu pr. 10, délky 90mm, bude bez použití p. lunety prohýbat.
s pozdravem Markus
Ještě jednou díky za trpělivost a půjdu si vytočit první svůj TR závit na šroubu a matici.
Jsem zvědav jak se to na šroubu pr. 10, délky 90mm, bude bez použití p. lunety prohýbat.
s pozdravem Markus